Перейти к содержанию
vladoff

ПОСЛЕДНИЕ НОВОСТИ ГОРОДА

mirror

Открыт специализированный новостной раздел. Если считаете свою новость значительной и(или) достойной отдельного обсуждения, то размещайте её здесь: https://forum.pushkino.org/news/

Сообщение добавил mirror

Рекомендуемые сообщения

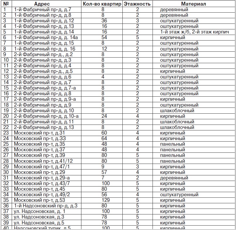
Перечень жилых домов, подлежащих сносу-реконструкции при застройке 14-20 кварталов

 

 

post-12955-0-03550200-1375778285_thumb.jpg

 

 

  • Нравится 2

Поделиться сообщением


Ссылка на сообщение

 i 
Уведомление:
Посты про снос-реконструкцию домов 14-20 кварталов перенесены в эту тему.
Изменено пользователем surickoff

Поделиться сообщением


Ссылка на сообщение

10 августа - День физкультурника в Пушкино

 

10 августа 2013 года на территории Дворца спорта «Пушкино» по адресу: г.Пушкино, ул.Набережная д.8 пройдет традиционный Всероссийский праздник «День физкультурника». Вход для любителей спорта бесплатный. Все желающие могут принять участие в спортивных мероприятиях и посоревноваться со спортсменами профессионалами.

 

- с десяти часов утра на площадке перед Дворцом спорта воспитанники «Станции Юных Техников» будут демонстрировать радиоуправляемые модели самолетов, кораблей и машин.

 

На водно – спортивной базе «Серебрянка» состоятся соревнования гребцов на байдарках и каноэ.

 

В 12 часов состоится торжественное построение всех участников соревнований

 

По окончании торжественной церемонии во ДС «Пушкино» пройдет третий отборочный турнир по мини-футболу среди дворовых команд, на площадке Пушкинской средней школы№3

 

по информации портала "Пушкино сегодня" - pushkino . tv

------------------------------------------------------------------------------------------------------------------------------------

 

В городе установлены новые остановки, в частности у Серпа, у городской поликлиники и в Дзержинце и тд... Также у поликлиники на 50 лет комсомола делают парковочные места...

 

 

-----------------------------------------------------------------------------------------------------------------------------------

 

 

В Царёво Пушкинского района пропала женщина - мать 3 детей !!!

 

 Лариса Юрьевна Железнова

 рост средний, глаза голубые волосы русые, стрижка каре, голубой брючный костюм

 телефон 8-903-256-04-18

 

5XIri0qp.jpgpost-4527-0-75977500-1375789142_thumb.jpg

 

источник - пушкинское телевидение

 

--------------------------------------------------------------------------------------------------------------------------------------

 

Публичные слушания - Заветы Ильича  - Пушкино

 

23 августа 2013 года в 16.00 в здании администрации города Пушкино по адресу: Московская область, г. Пушкино, ул. Некрасова, д. 5, каб. 213.
 
Обсуждение проекта планировки территории, в границах которой расположен земельный участок ориентировочной площадью 100000 кв.м, расположенный по адресу: Московская область, г. Пушкино, мкр. Заветы Ильича.
 
Порядок размещения демонстрационных материалов и приема предложений:
– демонстрационные материалы по проекту планировки земельного участка осуществляется в администрации города
Пушкино по адресам: Московская область, г. Пушкино, ул. Некрасова, д. 5 (фойе на 1-ом этаже), в администрации Пушкинского муниципального района по адресу: Московская область,
г. Пушкино, Московский проспект, д. 12/2 (общественная приемная), с 02 августа по 23 августа 2013 года; 
– доступ к демонстрационным материалам свободный с 10.00 до 17.00; 
– предложения принимаются в общем отделе администрации города Пушкино с 02 августа по 23 августа 2013
года с 10.00 до 16.00 (обедс 13.00 до 14.00), 23 августа с 10.00 до 13.00 по адресу: Московская область,г. Пушкино, ул. Некрасова,д. 5, каб. 105, регистрируются и передаются в Комиссию по подготовке и проведению публичных слушаний;
– предложения по вопросу публичных слушаний принимаются лично от каждого гражданина в письменном виде с указаниемфамилии, имени, отчества, паспортных данных, адреса проживания или владения.
 
Публичные слушания проводятся с участием:
– граждан, проживающих на территории города Пушкино, применительно к которой осуществляется подготовка проекта планировки;
– правообладателей земельных участков и объектов капитального строи-
тельства, расположенных на вышеуказанной территории;
– лиц, законные интересы которых могут быть нарушены в связи с реализацией данного проекта.
 
Телефон для справок: 8-495-993-34-24.
 
Контактное лицо: Аниканова Валентина Ивановна.

 

5XIri0qo.jpgpost-4527-0-61777700-1375789156_thumb.jpg

 

Источник - газета Маяк от 2 августа 2013  № 58 (11893) - http://pushkino.org/wp-content/uploads/58-2013.pdf

 

 

----------------------------------------------------------------------------------------------------------------------

 

 

Публичные слушания - п. Зеленоградский Пушкинского района

 

13 августа 2013 года в 16.00 в здании администрации городского поселения Зеленоградский по адресу: Московская область, Пушкинский район, г.п. Зеленоградский, ул. Колхозная, д. 5.
 
Обсуждение проекта планировки территории, ограниченной ул.Шоссейная, полосой отвода железной дороги Московско-Ярославского направления, территорией торгового центра в пос.Зеленоградский Пушкинского муниципального района в целях определения возможности строительства объектов торговли ИП Ибрагимовой Н.Н. и  Мытаркиным А.Г
 
Порядок размещения демонстрационных материалов и приема предложений:
 
1. Демонстрационные материалы размещаются в администрации городского поселения Зеленоградский по адресу: Московская
область, Пушкинский район, пос. Зеленоградский, ул. Колхозная, д. 5, с 01 августа по 13 августа 2013 г.
2. Доступ к демонстрационным материалам свободный с 10.00 до 17.00 в рабочие дни.
3. Предложения по вопросу публичных слушаний принимаются с 01 августа по 12 августа 2013 г. по рабочим дням с 10.00 до 13.00 и с 14.00 до 17.00 часов.
4.Предложения принимаются в администрации городского поселения Зеленоградский по адресу: Московская область, Пушкинский район, городское поселение Зеленоградский, ул. Колхозная, д.
5, регистрируются и передаются в Комиссию по подготовке и проведению публичных слушаний.
6. Предложения по вопросу публичных слушаний принимаются лично от каждого гражданина, в письменном виде с указанием фамилии, имени, отчества, паспортных данных, адреса проживания или владения.
 
. Публичные слушания проводятся с участием:
– граждан, проживающих на территории городского поселения Зеленоградский, применительно к которой осуществляется подготовка проекта планировки;
– правообладателей земельных участков и объектов капитального строительства, расположенных на вышеуказанной территории;
– лиц, законные интересы которых могут быть нарушены в связи с реализацией данного проекта.
 
 
Регистрация участников публичных слушаний осуществляется за 1 час до начала слушаний.
 
Телефон для справок: 8 (903) 776-75-21.
 
Контактное лицо: Семушева Галина Евгеньевна.

 

 

5XIri0qn.jpgpost-4527-0-20761100-1375789174_thumb.jpg

 

Источник - Маяк от 31 июля 2013 № 57 (11892) - http://pushkino.org/wp-content/uploads/57-2013.pdf

 

----------------------------------------------------------------------------------------------------------------------------------------------

 

Слушания в Тарасовке 

 

20 августа 2013 года в 16.00 часов проводятся публичные слушания.
Слушания проводятся в здании администрации сельского поселения Тарасовское по адресу: Московская область, Пушкинский район
с. Тарасовка, ул. Большая Тарасовская, д. 26.
 
 Обсуждение вопроса изменения вида разрешенного использования земельного участка, общей площадью
57274 м2 (кадастровый № 50:13:0080422:506), с «Для размещения фармацевтического складского комплекса» на «Для размещения
объектов оптовой и мелкооптовой торговли с широким ассортиментом продовольственных и непродовольственных товаров, приобъектной автостоянкой и сопутствующей инфраструктурой».
 
Порядок размещения демонстрационных материалов и приема предложений:
3.1 Демонстрационные материалы размещаются в здании администрации сельского поселения Тарасовское по вышеуказанному
адресу с 05 августа по 20 августа 2013 г.
3.2. Доступ к демонстрационным материалам свободный с 10.00 до 17.00 в рабочие дни.
3.3. Предложения по вопросу публичных слушаний принимаются с 05 августа по 19 августа 2013 г. по рабочим дням с 10.00 до 13.00
и с 14.00 до 17.00 часов.
3.4. Предложения принимаются в администрации сельского поселения Тарасовское по вышеуказанному адресу, регистрируются и
передаются в Комиссию по подготовке и проведению публичных слушаний. Телефон администрации: 8(495) 940-60-18, 8 (496) 537-84-39.
3.5. Предложения по вопросу публичных слушаний принимаются
от постоянных жителей и правообладателей объектов капитального
строительства и (или) земельных участков, расположенных в границах
сельского поселения Тарасовское, лично от каждого лица, в письменном виде с указанием фамилии, имени, отчества, паспортных данных
и адреса постоянного проживания или владения заявителя.
 
Регистрация участников публичных слушаний осуществляется за 1 час до начала слушаний.
 
Телефон для справок: 8-985-213-07-08.
 
Контактное лицо: Баржанов Андрей Алексеевич.
 
--------------------------------------------------------------------------------------------------------------------
 
Планируют парковки...
 
. Рекомендовать администрации города Пушкино в установленном порядке: Разработать и представить на согласование в администрацию Пушкинского муниципального района задания на подготовку проектов планировок территорий: 
-Ограниченной полосой отвода железной дороги Московско-Ярославского направления, ул.Энтузиастов, объектом торговли, лесо-
защитной полосой, в границы которой входит земельный участок ориентировочной площадью 7000 кв.м, рассматриваемый под перехватывающую стоянку-парковку легкового автотранспорта, расположенныйпо адресу: Московская область, г.Пушкино, мкр.Заветы Ильича, между ул.Энтузиастов и полосой отвода железной дороги Московско-Ярославского направления(далее-проект планировки).
-Ограниченной полосой отвода железной дороги, разворотной площадкой общественного транспорта, автодорогой с ул.Ленточка на
путепровод, в границы которой входит земельный участок площадью 2200кв.м, рассматриваемый под перехватывающую стоянку-парковку
легкового автотранспорта, расположенной по адресу: Московская область, г. Пушкино, мкр.Мамонтовка, в 25-ти метрах севернее от платформы «Мамонтовская» (далее- проект планировки).
- Ограниченной полосой отвода железной дороги Московско-Ярославского направления, зданием магазина, разворотной площадкой общественного транспорта, в границы которой входит земельный участок ориентировочной площадью 1600кв.м, рассматриваемый под перехватывающую стоянку-парковку легкового автотранспорта, расположенной по адресу: Московская область, г.Пушкино, мкр.Мамонтовка, в 40 метрах севернее от железнодорожной платформы «Мамонтовская» (далее-проект планировки).
Изменено пользователем vladoff

Парад Победы в Пушкино 2017 - http://forum.pushkino.org/index.php/topic/88109-mobilnyj-reporter/?p=4903968

 

- гроза в Пушкино 2013... фото и видео - ссылка<p> - телефоны городских служб Пушкино на 2013 - ссылка

Поделиться сообщением


Ссылка на сообщение

Кому интересно почитать всё о лесном фонде Пушкинского района (площадь, какие деревья, аренда, лесничества с тел., и т.д.):

 

http://www.adm-pushkino.ru/about/info/messages/5635/

  • Нравится 2

Поделиться сообщением


Ссылка на сообщение

 ! 
Предупреждение:
Ещё раз хочу напомнить всем - данная тема называется "ПОСЛЕДНИЕ НОВОСТИ ГОРОДА" и предназначена сугубо для публикации свежих городских и районных новостей, ну, допускается пара-тройка комментов к какой-либо новости, но не более! И это ВСЁ! Для остального убедительная просьба выбирать более подходящие темы или создавать новые, если подходящих не отыскалось.
  • Нравится 1

Поделиться сообщением


Ссылка на сообщение

Вслед за хвойниками в подмосковных лесах зафиксировано #цензура# число случаев гибели ясеня 

Виновником этого стал непрошеный гость с Дальнего Востока — ясеневая изумрудная узкотелая златка. Опасный инвазивный вредитель проник в Московский регион, предположительно, из Приморского края и Китайской Народной Республики еще в 2003 году. С тех пор его количество лишь увеличивалось — к 2013 году популяция насекомого разрослась настолько, что жуки кочуют по Подмосковью в радиусе 250 километров и уже вышли за пределы областиОсобенно страдают леса Пушкинского района.

 

продолжние

http://www.mk.ru/daily/nashe-podmoskove/article/2013/08/07/895689-prileteli-zlatki-s-lesom-nepoladki.html


Член правления ТСЖ  "Крылова, 1"

Поделиться сообщением


Ссылка на сообщение

А ее и не надо развивать, преступление оно и есть преступление. Как бы ты не радовался" закономерному развитию".

  • Нравится 2

Поделиться сообщением


Ссылка на сообщение

Люди...а кто-нибудь слышал.что вчера ЯНТАРЬ обокрали??? Есть инфа какая?


Мою младшую сестру зовут Juliay.

Поделиться сообщением


Ссылка на сообщение

выломали рольставни, разбили стекло, сумму ущерба кто же нам скажет ;)

Поделиться сообщением


Ссылка на сообщение

А камера-то там висит полицайская неподелеку, может что и засняли ментозавры...хотя вряд ли, но все же. ))

Поделиться сообщением


Ссылка на сообщение

В Подмосковье ведется розыск пропавшего в Пушкино ребенка

 

Москва. 9 августа. ИНТЕРФАКС - Полиция ищет маленькую девочку, пропавшую накануне в подмосковном Пушкино, сообщили "Интерфаксу" в пятницу в пресс-службе ГУ МВД по Московской области.

"Вчера в полицию обратился мужчина 1971 года, который сообщил о пропаже своей дочери 2007 года рождения", - сказал представитель главка.

По его данным, в настоящее время полиция предпринимает все возможные меры, необходимые для установления местонахождения ребенка.

 

http://www.interfax-russia.ru/Center/citynews.asp?id=423797&sec=1669

  • Нравится 1

Поделиться сообщением


Ссылка на сообщение

В Подмосковье ведется розыск пропавшего в Пушкино ребенка

 

Москва. 9 августа. ИНТЕРФАКС - Полиция ищет маленькую девочку, пропавшую накануне в подмосковном Пушкино, сообщили "Интерфаксу" в пятницу в пресс-службе ГУ МВД по Московской области.

"Вчера в полицию обратился мужчина 1971 года, который сообщил о пропаже своей дочери 2007 года рождения", - сказал представитель главка.

По его данным, в настоящее время полиция предпринимает все возможные меры, необходимые для установления местонахождения ребенка.

 

http://www.interfax-russia.ru/Center/citynews.asp?id=423797&sec=1669

http://lizaalert.org/forum/viewtopic.php?f=42&t=5462  Найдена ,жива!!!

Слава ,богу!

Изменено пользователем volchica
  • Нравится 5

Поделиться сообщением


Ссылка на сообщение

Для публикации сообщений создайте учётную запись или авторизуйтесь

Вы должны быть пользователем, чтобы оставить комментарий

Создать учетную запись

Зарегистрируйте новую учётную запись в нашем сообществе. Это очень просто!

Регистрация нового пользователя

Войти

Уже есть аккаунт? Войти в систему.

Войти

  • Последние посетители   0 пользователей онлайн

    Ни одного зарегистрированного пользователя не просматривает данную страницу

×